Kumpulan Soal Integral Tentu Dan Pembahasannya Kelas 12 Sma
Setelahnya kamu bisa mengerjakan kuis berupa latihan. Soal Uan Dan Pembahasan Integral Tak Tentu Luas daaerah yang dibatasi kurva y x 2 dan garis x y 6 adalah.
Integral Tentu Contoh Soal Dan Pambahasan
Kali ini kami akan membagikan sebuah artikel yang kami harap bisa menjadi bermanfaat bagi para pelajar khususnya bagi adek-adek kelas 12 yang akan menempuh UNBK dalam waktu dekat ini.

Kumpulan soal integral tentu dan pembahasannya kelas 12 sma. 34 Contoh Soal Statistika Kelas 12 Sma Dan Pembahasannya. Dari pembahasan di atas kita telah mengetahui apa itu integral parsial. Matemantika Belajar Matematika Online Instagram Kumpulan Soal Pembahasan Sma Pengantar Statistika Kelas 12 I 2020 Rangkuman contoh soal dimensi tiga jawaban pembahasannya.
10 contoh soal integral tak tentu pilihan ganda. Integral tak tentu 1. Akan tetapi dalam kasus tidak diketahui fungsi.
Contoh soal dan pembahasan jawaban materi integral matematika kelas 12 sma penggunaan rumus dasar integral substitusi aljabar. Contoh soal integral kelas 12 smk. 3 sin 3 x c integral substitusi trigonometri un 2008 pembahasan setipe dengan contoh pertama misalkan.
Satuan luas a 54 b 32 c 20 d 18 e 10. Soal Integral Dan Pembahasan Posted by jefri 14 agustus 2014 1202 am. Integral Tak Tentu Soal 1 Jika fx x 4n untuk setiap n dan n -13 maka fx dx adalah.
F x 9x 2 12 soal no. Contoh Soal Matriks Penjumlahan Pengurangan Perkalian Dan Campuran -Plus Jawabannya Integral Tentu. Contoh soal pelajaran puisi dan pidato populer Salam super sobat blogger.
20210308 Berikut contoh soal integral tentu tak tentu parsial dan pembahasannya. 50 soal dan jawaban integral pdf 50 soal dan jawaban integral tentu. Fx 4x d.
Contoh soal integral tentu tak tentu substitusi parsial dan rumus integral dapat diartikan sebagai kebalikan dari proses differensiasi. Contoh soal dan pembahasan integral trigonometri skl kisi kisi un matematika sma 2012 dari soal soal integral trigonometri ujian tahun tahun sebelumnya. Tersedia juga kumpulan soal soal matematika wajib kelas 11 untuk setiap bab yang bisa kamu download dalam format pdf sebagai bahan latihan soal ulangan.
20190417 Contoh soal dan pembahasan tentang integral widi. Tags contoh soal matematika sma matematika kelas xi matriks. Jabarkan terlebih dahulu bentuk -x32x-12 menggunakan ab2 a2.
Download Modul Matematika Sma Kelas Xi. Soal Matematika Integral SMA Kelas 12 Kurikulum 2013 Lengkap Beserta Pembahasannya ini merupakan misal soal teranyar yang bakal saya bagikan untuk BapakIbu yang mengampu mata latihan Matematika Kelas 10 SMAMA yang telah merealisasikan Kurikulum 2013. Tetapi statistika dan statistik merupakan dua hal yang berbeda karena statistik adalah data.
Soal matematika peminatan kelas xi sma. Penjelasan tentang contoh soal integral tentu tak tentu substitusi parsial trigonometri beserta pengertian dan jenis jenis integral dan pembahasannya. Setelah cukup jelas dan paham dalam materi integral kemudian bahas soal soal integral untuk meningkatkan pemahaman kalian dalam menyelesaikan soal integral.
Kumpulan soal un 50 100 contoh soal pilihan ganda integral dan pembahasannya kelas 11contoh soal dan jawaban pembahasan integral pdf brainly substitusi tak tentu kelas 11 parsial brainly kuliah bentuk akar fungsi. Download Soal Dan Pembahasan Matematika Kelas 12 PDF 600 MB - SamPDF SamPDF Tentu Part 1 Penjabaran Rumus youtubenkzUb93rjzw Part 2 Sifat sifat integral youtubeLj0OReP6GMs Part 3 Integral Tak Tentu youtu. Kumpulan soal integral tak tentu.
Web artikel membahas soal matematika kelas 11 untuk sma ma stm dan smk pg atau essay tahun 2020 2021 semester 1 2 kunci jawaban pelajaran matematika. Download rangkuman contoh soal turunan kelas xi 11 dalam bentuk pdf klik disini contoh soal pembahasan turunan kelas. Dengan harapan artikel ini bisa mempermudah pemahaman adek-adek sekalian dalam pembelajaran yang akan diujikan.
Contoh Soal dan Pambahasan Bangun Ruang Sisi Lengkung SMP Kelas 9-Contoh Soal dan Penyelesaian Integral-Luas.
Integral Tentu Contoh Soal Dan Pambahasan
Soal Dan Pembahasan Integral Tentu Tak Tentu Terlengkap Soalskul

Unbk Sma 2019 Pembahasan Matematika Ipa No 30 Modus Latihan Unbk 2020 Youtube Matematika Ipa Fisika

Learn Mathematics Indonesia Matemantika Belajar Matematika Online Instagram Kumpulan Soal Pembahasan Integral Tak Tentu Fungs Matematika Sma Matematika Belajar

Soal Dan Pembahasan Integral Tentu Tak Tentu Terlengkap Soalskul

Kumpulan Contoh Soal Integral Dan Pembahasannya Guru Belajarku

Unbk Sma 2019 Pembahasan Matematika Ipa No 39 Aturan Pencacahan Soal Hots Latihan Unbk 2020 Youtube Ipa Matematika Aritmetika

Contoh Soal Dan Jawaban Integral Contoh Soal Dan Materi Pelajaran 7

Contoh Soal Integral Tentu Tak Tentu Substitusi Parsial Trigonometri

Download Soal Tematik Kelas 1 Semester 2 Tema 5 Subtema 1 Pengalamanku Pengalaman Masa Kecil Edisi Terbaru Rief Awa Blog Semester
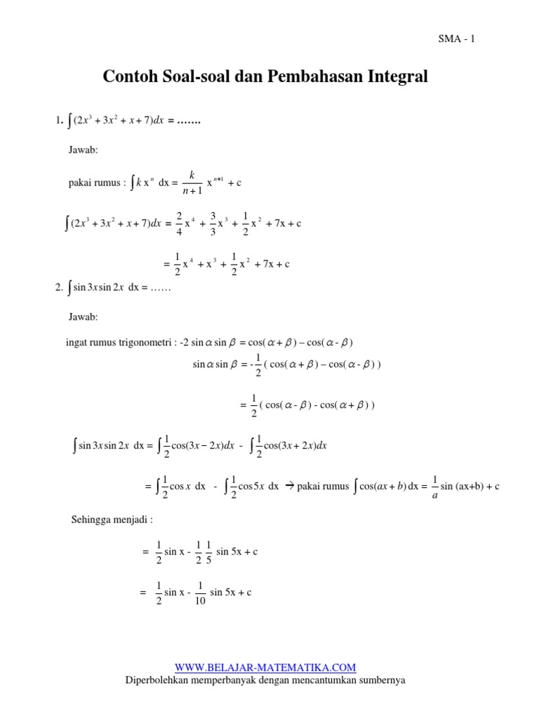
Contoh Contoh Soal Dan Pembahasan Integral Untuk Sma
Contoh Soal Integral Tak Tentu Dan Pembahasannya Kelas Xii Ipa Soal Soal

20 Soal Dan Pembahasan Matematika Dasar Sma Integral Tak Tentu Dan Tentu Fungsi Trigonometri Defantri Com

Unbk Sma 2019 Pembahasan Matematika Ipa No 35 Frekuensi Harapan Suatu Kejadian Latihan Unbk 2020 Youtube Matematika Ipa Sma

Contoh Soal Integral Tentu Tak Tentu Substitusi Parsial

Unbk Sma 2019 Pembahasan Matematika Ipa No 6 Barisan Dan Deret Aritmetika Latihan Unbk 2020 Youtube Aritmetika Matematika Deret Aritmetika
Kumpulan Soal Pelajaran 8 Contoh Soal Integral Parsial

Contoh Soal Dan Pembahasan Tentang Integral Ilmusosial Id

Posting Komentar untuk "Kumpulan Soal Integral Tentu Dan Pembahasannya Kelas 12 Sma"